T24-Luc
CBP30278L
產品描述
                    產品數據庫
                    
                | I. Introduction | |
| Host Cell: | T24 | 
| Expressed gene: | Luciferase | 
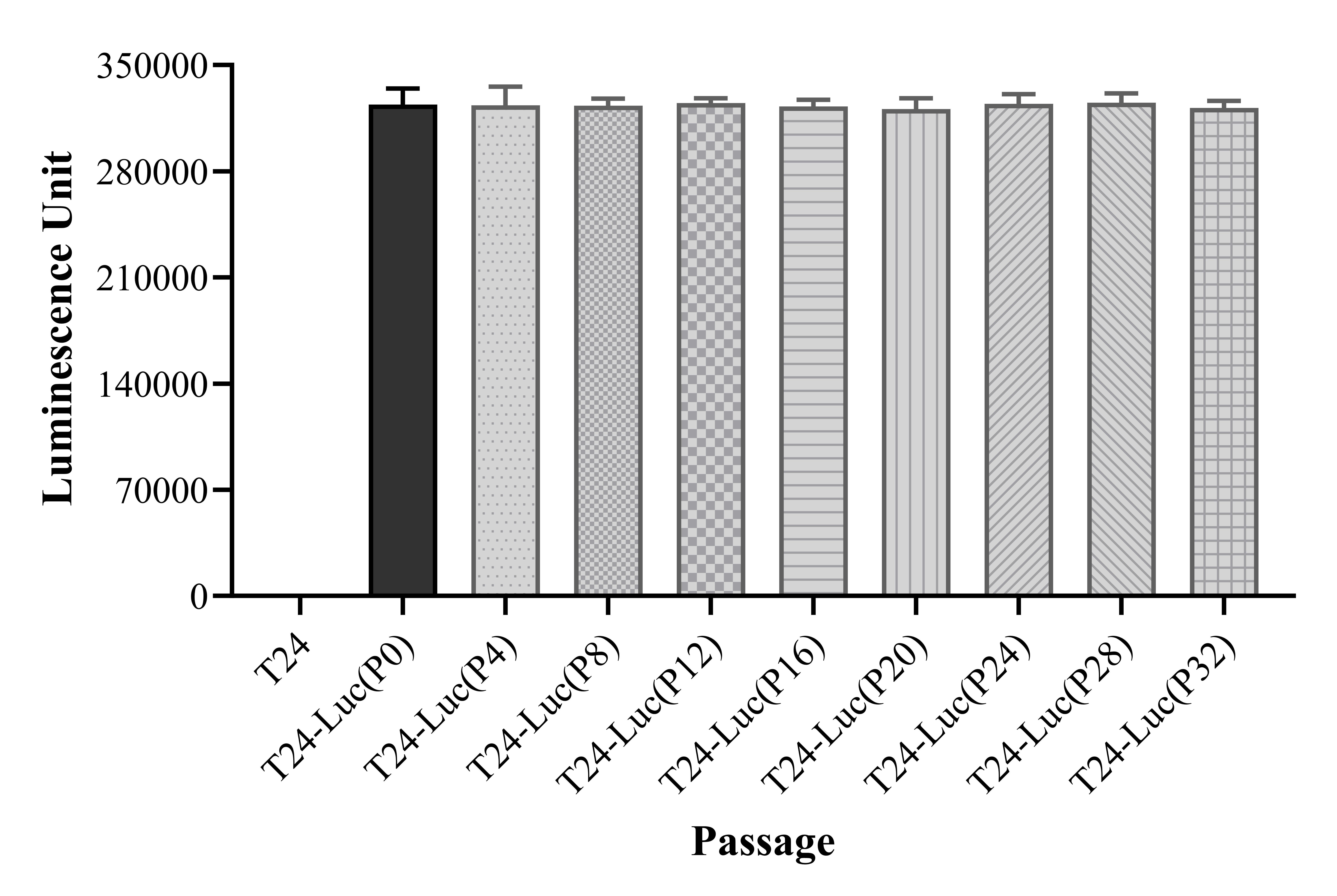
| Stability: | 32 passages(in-house test, that not means the cell line will be instable beyond the passages we tested.) | 
| Freeze Medium: | 90% FBS+10% DMSO | 
| Culture Medium: | McCoy's 5a+10%FBS+2 μg/ml Puromycin | 
| Mycoplasma Status: | Negative | 
| Storage: | Liquid nitrogen | 
| II. Description of Host Cell Line | |
| Organism: | Human | 
| Tissue: | urinary bladder | 
| Disease: | transitional cell carcinoma | 
| Morphology: | Epithelial | 
| Growth Mode: | Adherent | 
| III. Representative Data | |
![]()  | 
		|
| 
				 Figure 1. Stablity test results. T24-Luc showed at least 32 passage stability with similar luminescence unit.  | 
		|
            